AG百家乐大转轮-AG百家乐导航_怎么看百家乐走势_全讯网官网 (中国)·官方网站

科研新聞

首頁 > 科研新聞 > 正文

廖文波、凡強團隊等提出解釋“山地植物區系聚集的地質巖性假說”

稿件來源:生命科學學院 編輯:談希、盧旖維 審核:孫耀斌 發布日期:2024-08-02 閱讀量:

中大新聞網訊(通訊員熊麗娜)物種在地球表面的不均衡分布,是生物地理學及生態學研究的重要內容。早在洪堡時代,就已經發現熱帶山地有著極高的物種多樣性,闡明山地植物區系的成因對理解物種形成及生物多樣性的科學保護有重要意義,近兩個世紀以來吸引了大批生物地理學家、生態學家投入研究,尤其是通過區域植物多樣性和系統發育研究,以及與氣候因子、生態因子、地理因子等的耦合研究,取得許多新的進展,進而形成了一個較為明確的觀點,即普遍認為“生物過程、生態過程、地質過程”共同推動和促進了山地生物多樣性的形成。山地被認為是物種多樣性的搖籃和博物館,并且山地在地貌演變過程中促進了生境多樣性和不同生態位的產生,從而影響著山地內物種的分化、遷移或滅絕。目前,關于地質過程如何影響生物多樣性演變的研究相對較少,尤其是以單個“區系”為單元探討地質過程的獨特貢獻的研究較少。

中山大學植物分類學與區系地理學課題組,基于前期在我國廣東、廣西、江西、湖南、陜西、寧夏、內蒙古等多處自然保護地的野外考察,結合全國對山地區系的研究,發現不同地貌類型的山地之間其植物區系組成存在差異,提出了“基巖侵蝕-地貌形成-物種分化”的演變框架(圖1),以“相對獨立單個山地區系為單元”,對山地區系演變與基巖侵蝕、地貌形成、氣候因子耦合關系等進行了研究。

圖1 地貌與巖性制約下山地植物區系聚集和分化框架圖

(a. 板塊運動, 導致海相沉積抬升(i-iii)、侵入性花崗巖抬升(iv)、較晚的陸相沉積抬升(v); b.基巖地層因侵蝕而形成不同類型的地貌(vi-x); c. 巖性分化和地貌形成促進了偏好植物的定居和多樣化,形成專性區系?;哪孛?vi)區系以駝蹄瓣屬Zygophyllum和錦雞兒屬Caragana等為代表; 喀斯特地貌(vii)以蜆木屬、秋海棠屬等為代表; 混和地貌(viii)以鞘柄木屬Torricellia和珙桐屬Davidia等為代表; 花崗巖地貌(ix)以青岡屬、杜鵑屬等為代表; 丹霞地貌(x)以梧桐屬Firmiana、報春苣苔屬Primulina等)

課題組編錄了中國140個主要山地的被子植物區系數據集,含56目251科2585屬17,837種,生成系統發育樹;并建立了這些山地的氣候因子、地質地貌等數據集,按照基巖組成將140個山地劃分為五種地貌類型,即: 喀斯特、花崗巖-喀斯特、花崗巖、丹霞地貌和荒漠地貌(圖2)。通過耦合地貌類型、氣候因子、地理信息等,探討不同地貌類型與山地植物區系物種豐富度、系統發育多樣性(PD)、系統發育結構指數(PDI、NRI、NTI)和區系物種組成的年齡結構(MDT)的之間差異,從而揭示地貌過程如何促進對山地植物區系聚集和分化的影響。

圖2 中國140個山地的分布、被子植物區系物種數量及系統發育關系

(a. 140處山地分布圖; b. 五種地貌類型區系組成比較, 自下往上: 荒漠地貌13處, 丹霞10處, 花崗巖84處, 混和型14處; 喀斯特19處; c. 基于APG Ⅳ的被子植物系統樹(按逆時針: 黑色, ANITA; 淺藍,Magnoliids; 藍色, 單子葉類; 橙色, 真雙子葉類基部群; 綠色, Superrosids; 紫色, Supersterids; 用GBOTB估算分支時間)

研究結果顯示,花崗巖地貌、喀斯特-花崗巖混合地貌,其山地區系具有較高的物種豐富度和系統發育多樣性(圖3-a),且系統發育結構為發散型(圖3-c);而喀斯特地貌、丹霞地貌、荒漠地貌,其山地區系物種豐富度較低(圖3-a),且系統發育結構為聚集型(圖3-c)。同時,喀斯特(石灰巖)山地區系的平均物種分化年齡在5類地貌類型中是最高的。

圖3 五類地貌類型與山地植物區系豐富度、系統發育多樣性、系統發育結構和區系年齡結構差異

(a物種豐富度SR; b系統發育多樣性指數PDI; c凈相關指數NRI; d最近分類單元指數NTI; e系統發育多樣性PD;f所有物種的平均分化年齡MDT; g最古老的25%物種平均年齡MDT.oldest; h最年輕的25%物種平均年齡MDT.youngest。x軸, 依次為: 丹霞10處, 荒漠13處, 花崗巖84處, 喀斯特19處, 混和14處)

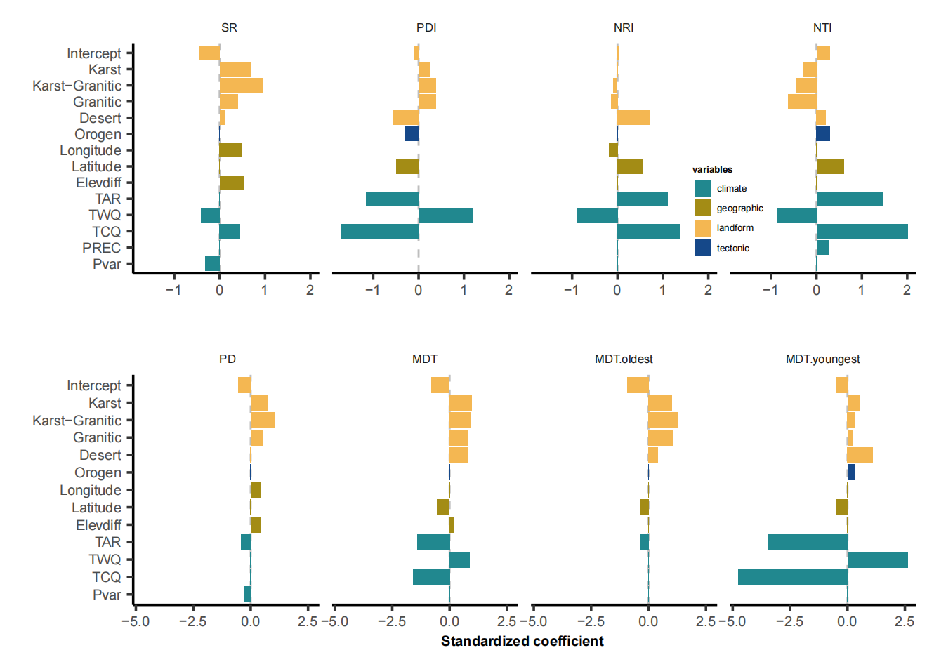
回歸分析結果表明,山地的物種多樣性受到地貌類型與山地海拔、氣候因素交互作用的影響,與海拔高度和最冷月均溫呈正相關,與最熱月均溫和氣候波動程度呈負相關。山地區系的系統發育結構主要受到氣候因素的影響,但地貌類型對區系的物種組成仍有重要貢獻,其中地貌類型是進化上較古老的物種在山地區系內聚集的主要決定因素,而氣候因素是進化上較年輕的物種在山地聚集的主要決定因素(圖4)。

圖4 預測變量對山地植物區系物種豐富度、系統發育多樣性、系統發育結構和年齡結構的影響

(兩圖以丹霞+克拉通為基準, 喀斯特、喀斯特-花崗巖、花崗巖--NTI較低, PDI較高。預測變量, 包括五種地貌類型、構造類型、地理因子(經度, 緯度, 海拔落差Elevdiff)、氣候因子(等溫性, TAR-溫度年較差, TWQ-最熱季均溫, TCQ-最冷季均溫, PREC-年降水量; 每個條形圖的長度表示變量的解釋力)

不同地貌類型的山地區系,在物種組成上也存在一定差異,如花崗巖山地分布有豐富的木蘭目、虎耳草目、杜鵑花目植物;喀斯特山地則具有較豐富的錦葵目、薔薇目和唇形花目植物;喀斯特-花崗巖山地代表著混和與過渡類型,包含許多殘余譜系,如殼斗目、山茱萸目、傘形目等;丹霞山地以禾本目、薔薇目、唇形花目較豐富;荒漠山地則以禾本目、菊目、石竹目較豐富(圖1和圖5)。

圖5 中國140個山地植物區系按目構建的熱力學圖

(第1組, 荒漠區系, 主要有Poales、Asterales、Caryophyllales、Fabales、Brassicales和Boraginales; 第2組, 花崗巖、喀斯特、混和區系, 主要有薔薇目、杜鵑花目、禾本目、Lamiales和Asterales; 第3組, 位于中部亞熱帶, 花崗巖、混和區系, 薔薇目最豐富,次之為Lamiales、Ericales、Asterales和Asparales。第4組, 花崗巖、丹霞區系, 主要有Poales、Rosales、Lamiales和Ericales; 其中丹霞的禾本目更豐富, 花崗巖的Ericales更豐富)

基于上述結果,本研究提出了“地貌區系(landform flora)”概念和“地質-巖性植物區系假說(floristic geo-lithology hypothesis)”,以解釋山地植物區系的形成和分化。認為山地植物區系的形成過程受巖石圈循環的影響,物種多樣性的聚集及分化與“山地基巖類型和侵蝕程度”直接相關;尤其是因基巖差異而形成的“地貌特有種”是導致不同地貌類型其山地植物區系分異的重要來源;不同“地貌區系”成分的“跨地貌擴散過程”會受到生境差異性的制約。“地質-巖性植物區系假說”強調了基巖和地貌過程在山地植物區系形成中有重要作用,為揭示不同山地之間植物區系成分的流動,以及全球山地植物多樣性分布格局提供了新的思路。

本研究的完成也得益于中山大學張宏達教授1974年所提出的“華夏植物理論”以及所開設的“植物區系學”課程,在此基礎上“分類學與區系學研究課題組”開始廣泛地收集全國各區域的區系考察文獻,前后20多年來也對廣東、廣西、海南、江西、湖南等50多處自然保護地進行了實際考察,尤其是2013-2018年中山大學所主持的“國家科技基礎性工作專項--羅霄山脈地區生物多樣性綜合科學考察”(含67處各級保護區、34處國家森林公園、地質公園等)獲得了許多新的區系數據,直接推動了這一項工作并得以成稿。

該成果以“Landform and lithospheric development contribute to the assembly of mountain floras in China”為題發表在Nature Communications上,中山大學生命科學學院趙萬義副研究員、劉忠成博士和華南農業大學施詩博士為本文共同第一作者,生命科學學院廖文波教授、凡強副教授、陳素芳副研究員和首都師范大學王蕾副教授為共同通訊作者。深圳大鵬半島國家地質公園李潔蘭博士,南京林業大學許可旺副教授,中山大學劉蔚秋教授、辛國榮教授、束文圣教授,仲愷農業工程學院郭微教授、王龍遠副教授、華南農業大學蘇志堯教授、崔大方教授,美國哈佛大學Daivd E. Boufford教授等也是論文的作者。本研究得到了科技部基礎性工作專項(2013FY111500)、深圳大鵬半島國家地質公園“植被與地質環境協同演化專項(HT-99982020-0258)”、廣東省國家公園(擬建)建設專項“丹霞山生物多樣性科考(2021GJGY034)”、廣州市科技計劃項目(201903010076、202102021016)和中山大學張宏達科學基金等的資助。

論文鏈接:https://doi.org/10.1038/s41467-024-49522-4

中大新聞
新聞投稿
宝博百家乐官网娱乐城| 赤城县| 大玩家百家乐官网的玩法技巧和规则| 百家乐娱乐场真人娱乐场| 百家乐官网最新套路| 百家乐傻瓜式投注法| 大发888娱乐场下载删除| 罗甸县| 百家乐赌博公司| 百家乐官网书| 百家乐EA平台| 久胜娱乐| 百家乐官网技巧开户| 大发888娱乐城永乐厅| 合水县| 百家乐的珠盘| 百家乐官网投注外围哪里好| 南京百家乐的玩法技巧和规则| 百家乐官网有没有稳赢| 威尼斯人娱乐城真实网址| 网上娱乐城开户| 丽星百家乐官网的玩法技巧和规则| 速博| 金域百家乐的玩法技巧和规则 | 百家乐大白菜| 至尊百家乐| 百家乐官网站| 百家乐官网视频游戏聊天| 德州扑克 | 24山家坐向| 白银市| 大发888网站是多少呢| 百家乐官网合作| 百家乐官网投注之对冲投注| 百家乐和怎么算输赢| 网上玩百家乐官网好吗| 澳门顶级赌场百家乐的玩法技巧和规则| 大发888官方网站登陆| 澳门百家乐官网官方网站| 开心8百家乐官网现金网| 十六蒲娱乐城|